Site Navigation
EE 140 - Homework
- HW#0: 3 exercise at the end of the Intro slides
- HW#1: Ch. 2 # 3, 5, 10, 12, 13, 15, 20, 23, 26, 30, + 2 proofs on slides
- HW#2: Ch. 3 # 4,9,12,15,18, + questions on slides
- HW#3: Electrostatic Review Problems
- HW#4: Ch. 4 # 2, 3,6,8, 14, 15, 21,22,25,29,34,39,54,56,47,49,57
- HW#5: Magnetostatic Review Problems
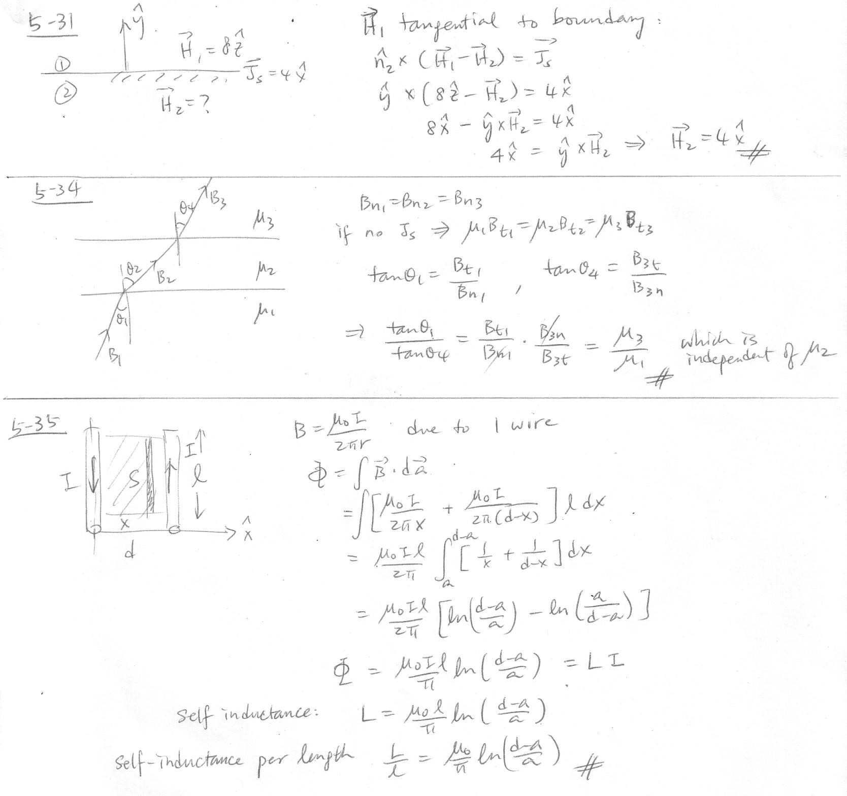
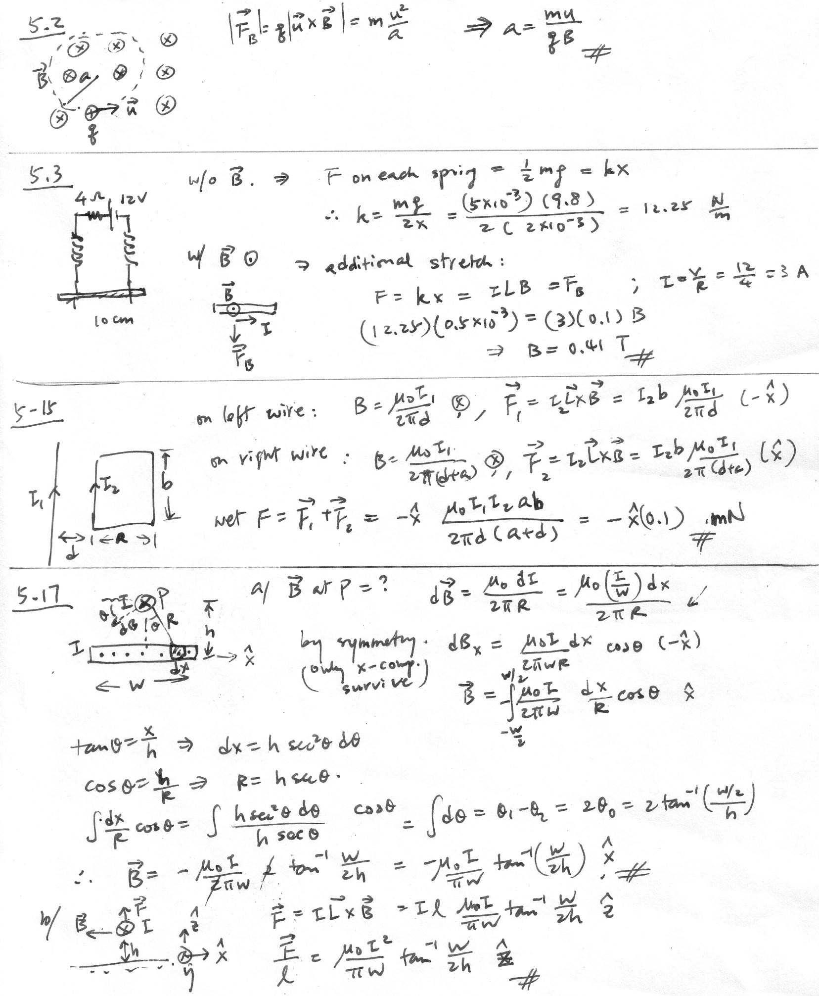
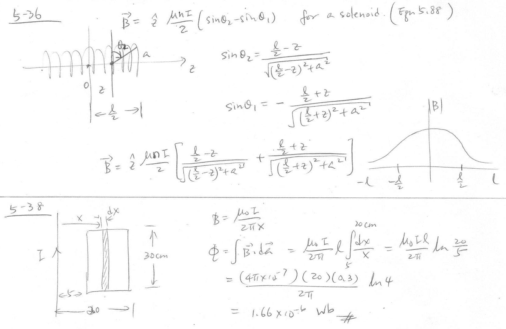
- HW#6: Ch. 5 # 2, 3, 15, 17,4,6,16, 19,20, 21, 31, 34, 35, 36, 38
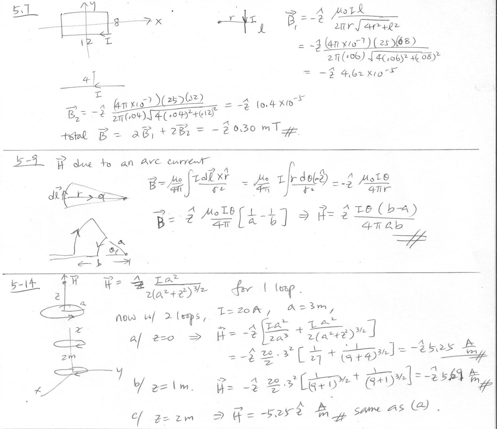
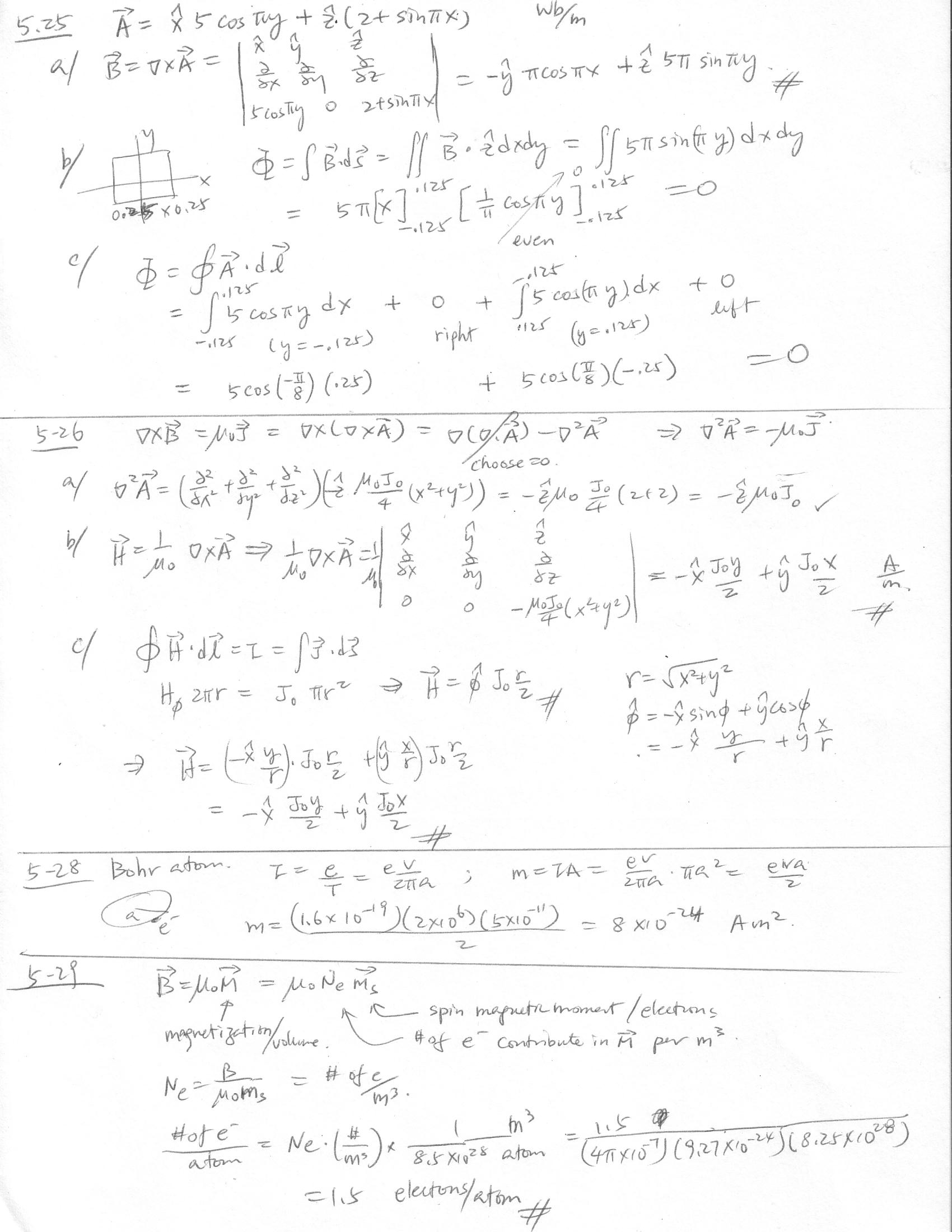
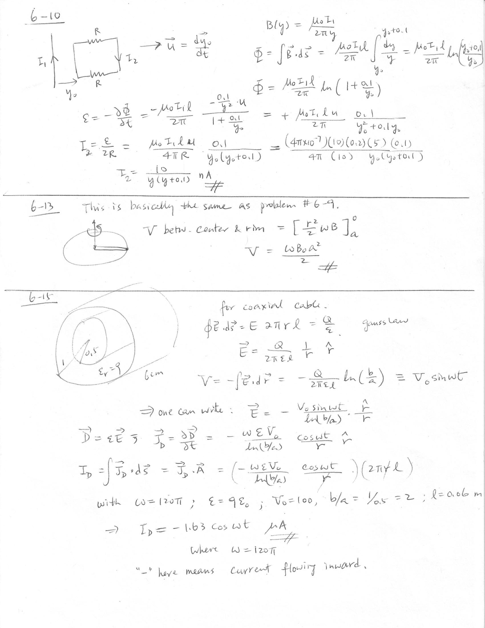
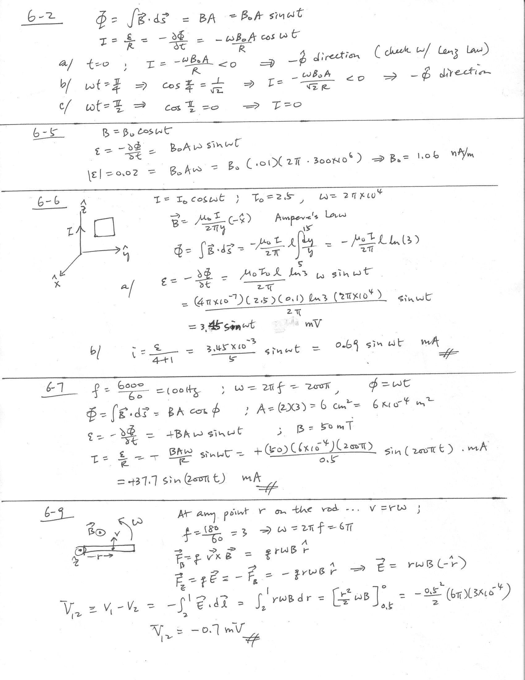
- HW#7: Ch. 5 # 7, 9, 14,11, 13,25, 26, 28, 29, Ch. 6 # 2, 5, 6, 7, 9, 10, 13, 15
- Midterm 1
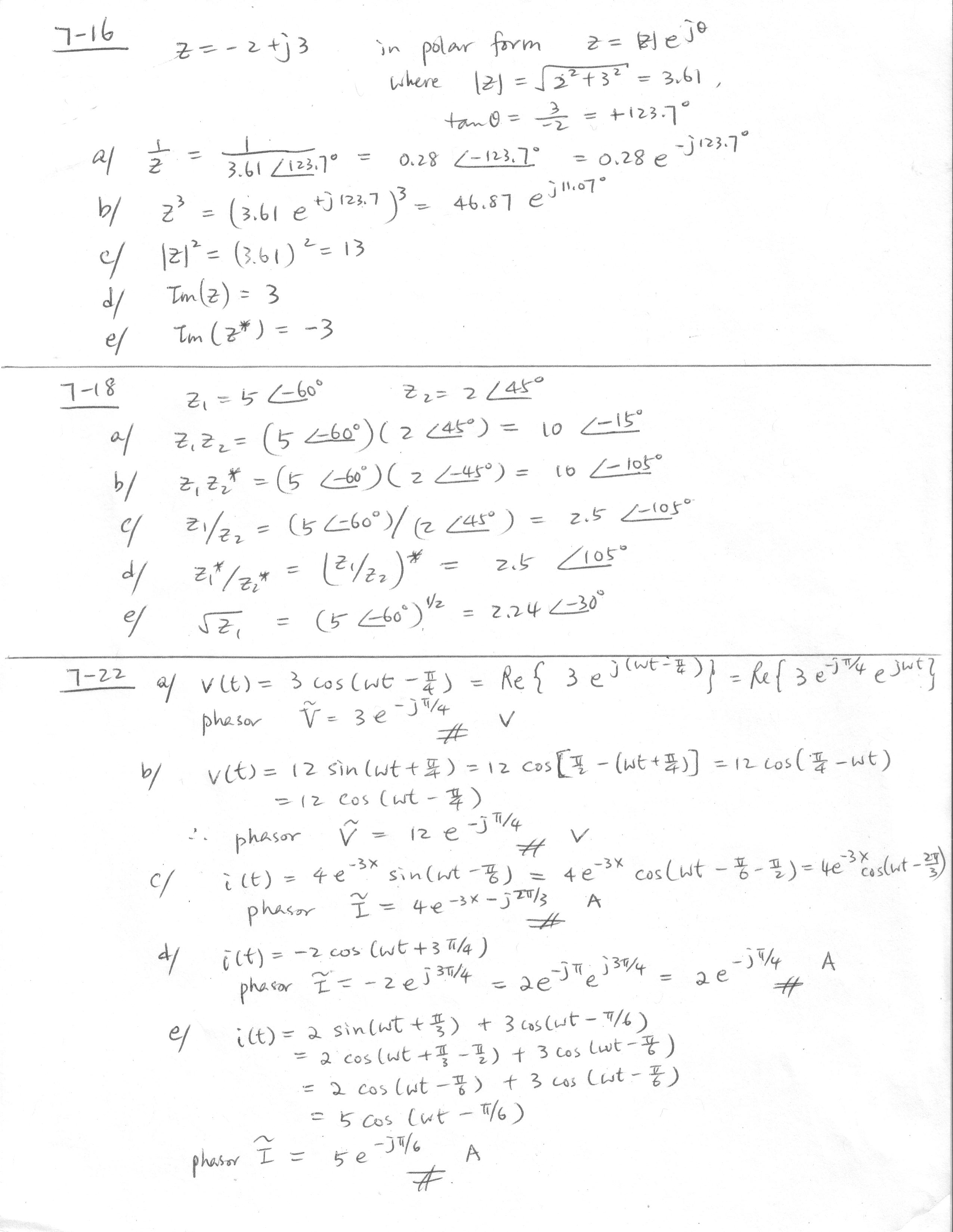
- HW#8: Ch. 7 # 5, 7, 10, 12,16, 18, 22, + 3 questions on Maxwell Equations slides
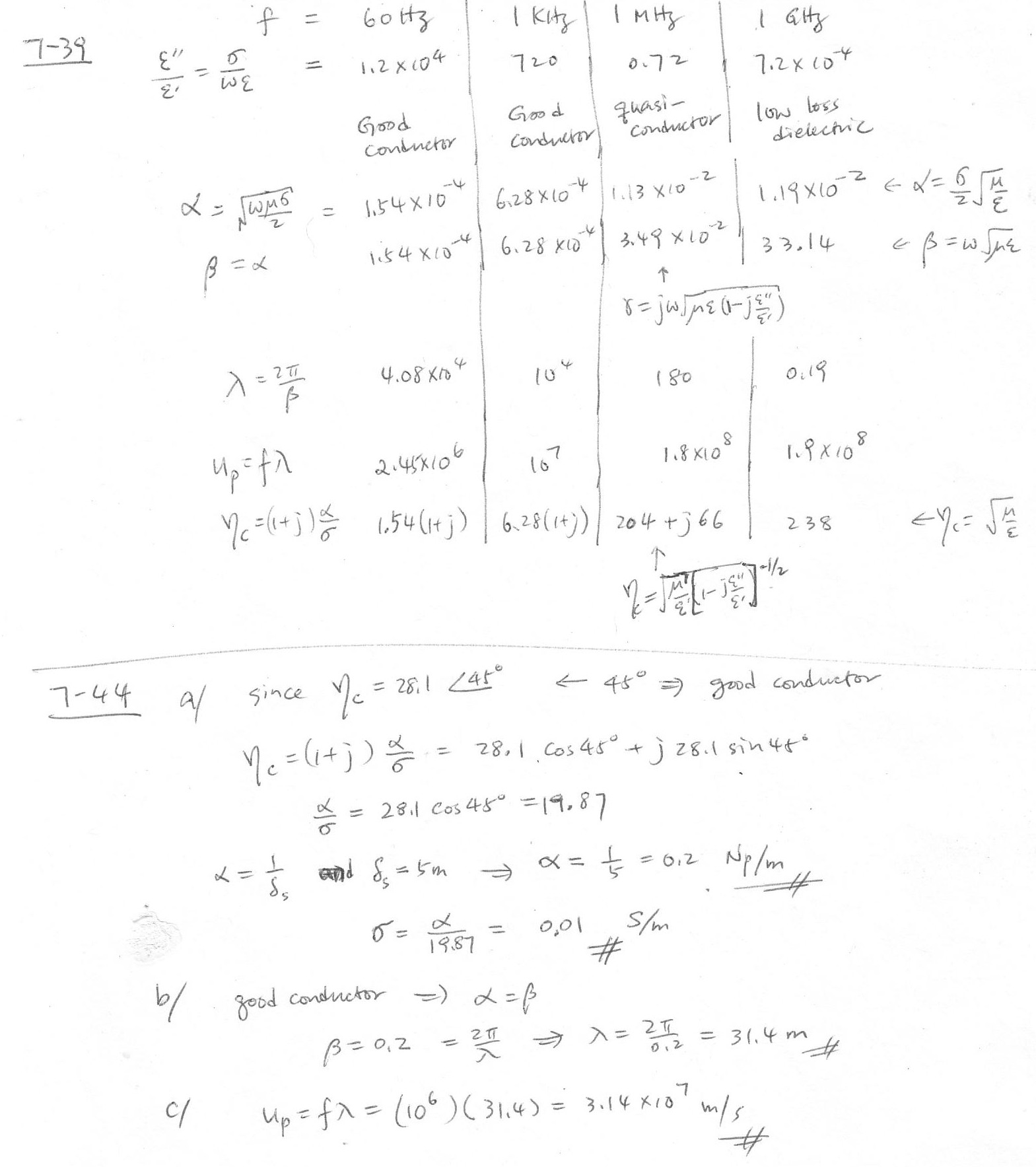
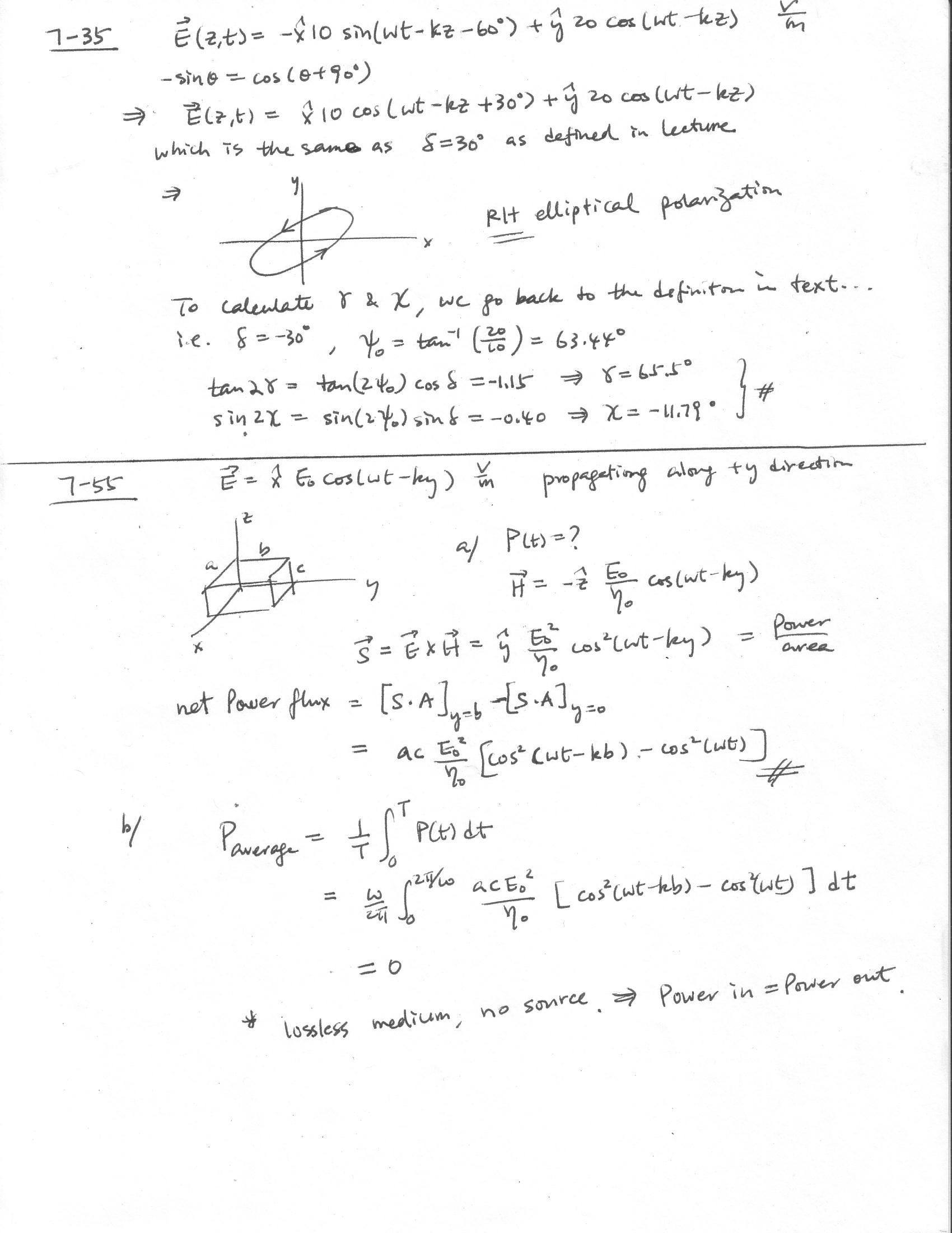
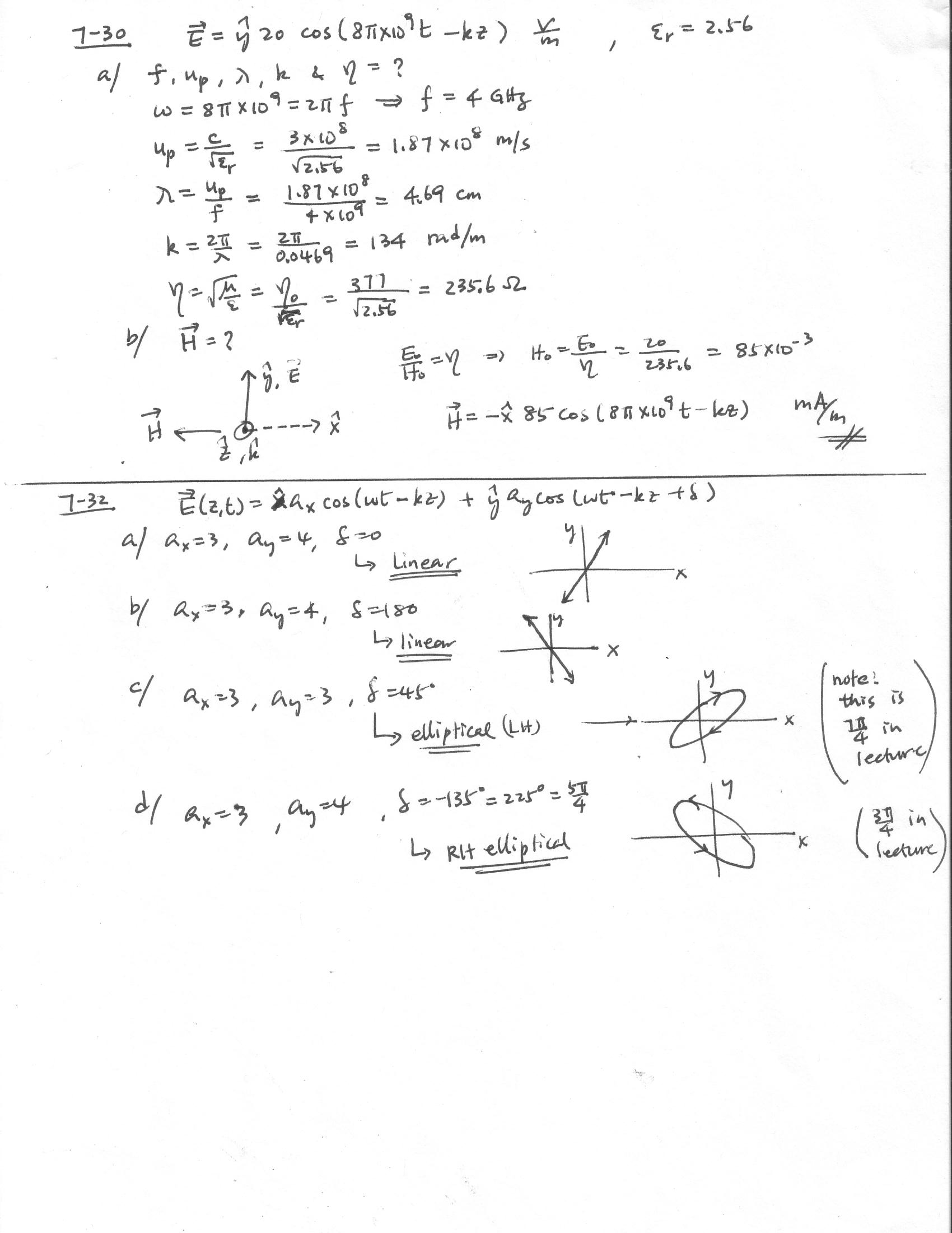
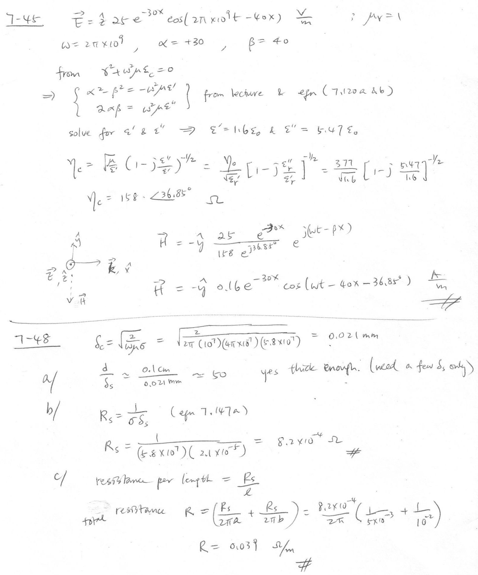
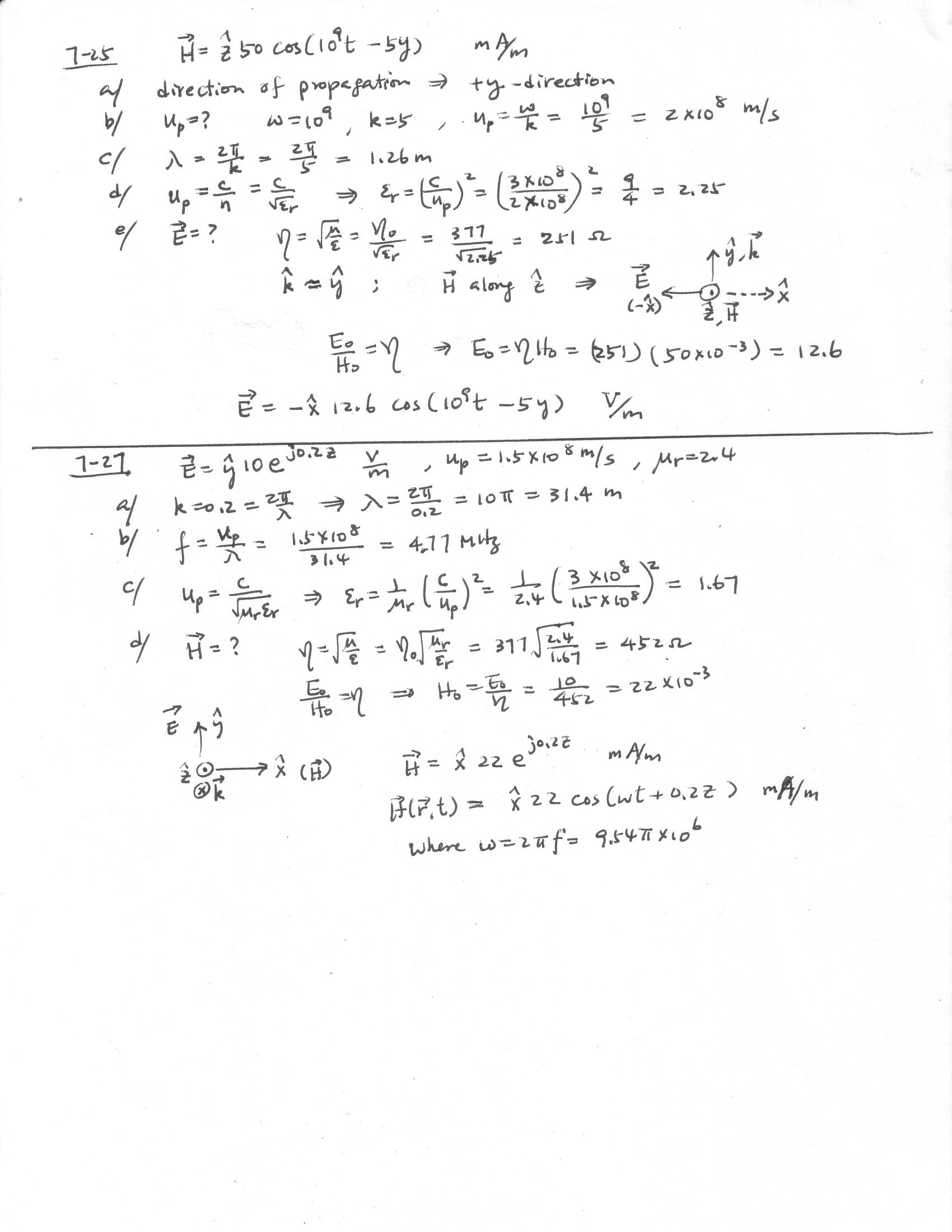
- HW#9: Ch. 7 # 25, 27,30, 32,35, 55,39, 44,45, 48, 51
- HW#10: Ch. 9 # 4, 15, 19, 20, 21, 26, 28, 30, 13, 18, 27 + 2 problems in Lossy Medium
- Midterm 2
- HW#11: Ch. 8 # 12, 15, 18, 20, 22, 23, 26 + 6 problems in Transmission Line lecture
slides
- Extra Exercise
- Final Exam (5/20 Wed 7:15 - 9:30 am)